Ȩ > °í°´Áö¿ø > À¯Æ¿¸®Æ¼ ÇÁ·Î±×·¥

Á¦¸ñ | ECO8000 Menu-5, System Config 2025-08-12 62
À̸§ | ECO   (IP:1.223.87.84)      
÷ºÎÆÄÀÏ | ECO8000-Menu-5-SystemConfig.JPG
¸µÅ©ÁÖ¼Ò |


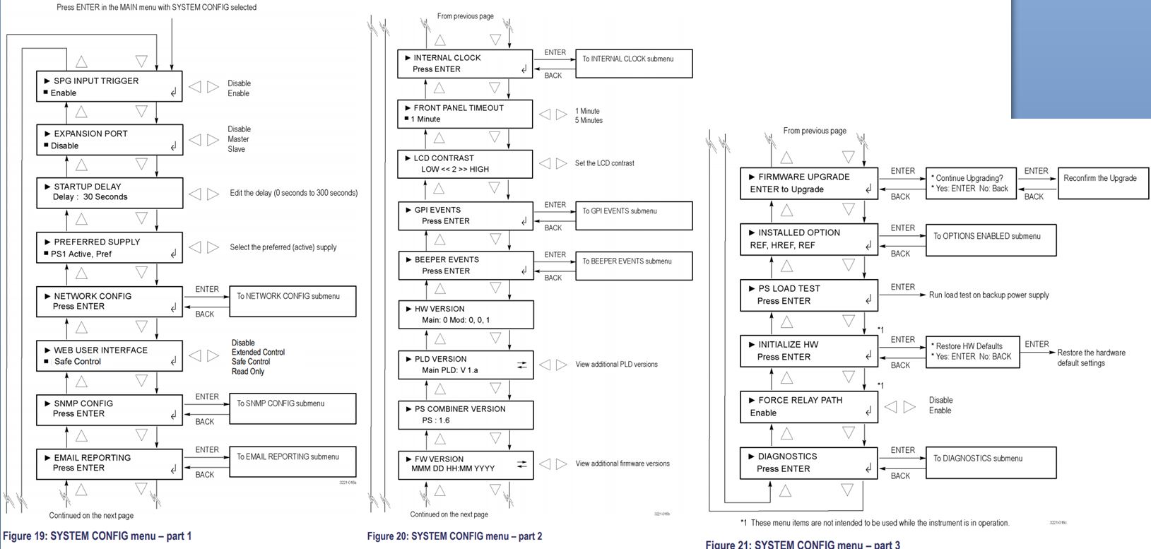
ECO8000 Menu-5, System Config
¹øÈ£ Á¦¸ñ ±Û¾´ÀÌ ÀÛ¼ºÀÏ Á¶È¸
 
56 ECO8000 Menu-5, System Config ECO 2025-08-12 62
55 ECO8000 Menu-4, Channel ECO 2025-08-12 79
54 ECO8000 Menu-3, Event Log ECO 2025-08-12 57
53 ECO8000 Menu-2, Status ECO 2025-08-12 61
52 ECO8000 Menu-1, Main ECO 2025-08-12 53
51 iDRAC Reboot ÇÏ´Â ¹æ¹ý IQ 2025-08-01 56
50 iDRAC ¿ë IP È®ÀÎ ¹æ¹ý (Inspector) IQ 2025-08-01 56
49 CURSOR (WFM) WFM 2025-08-01 62
48 LTC Channels of ECO8000 ECO 2025-07-21 87
47 LTC/GPI Connector <SPG9000> SPG 2025-07-21 99
46 XLR Adaptor Cable (SPG9000-ACC-XLR) SPG 2025-07-21 75
45 SPG8000A, Power-On-Default Preset ÀúÀå SPG 2025-07-17 63
44 SPG8000A IP ÁÖ¼Ò ¼³Á¤ SPG 2025-07-17 65
43 SPG8000A GPS ¾ÈÅ׳ª ¼³Á¤ SPG 2025-07-17 75
42 WFM SIM ¿É¼Ç WFM 2024-07-12 270
41 WFM71xx, WFM8xxx ¿ø°ÝÁ¦¾î WFM 2024-07-03 264
40 SDI Bit Rate SDI 2024-04-29 298
39 HD-SDI½ÅÈ£ È®ÀλçÇ×»ç·Ê WFM 2024-04-29 273
38 SPG9000 License Update ÀýÂ÷ admin 2024-03-15 306
37 Sentry Ethernet Info (Intel Xeon Silver 4114) Sentry 2023-11-17 429
 
  1 [2] [3]  
Á¦¸ñ º»¹® ±Û¾´ÀÌ